位置导航图标当前位置: 首页 > 信息公开平台 > 县发展和改革局
索 引 号: 006494566/2021-1476059 责任部门:安化县发改局 公开范围:全部公开
信息类别:综合政务 发文日期:2021-11-05 公开方式:政府网站
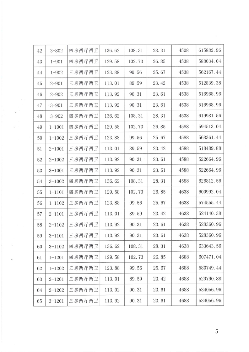
关于“福昇佳苑”商品住房销售价格的备案证明
作者:县发改局     发布时间:2021-11-05     信息来源: 安化县发展和改革局     浏览数:










打印[打印] 收藏[收藏] 纠错[纠错] 关闭[关闭]