位置导航图标当前位置: 首页 > 信息公开平台 > 县医疗保障局
索 引 号: 4309230002/2023-1828166 责任部门:安化县医疗保障局 公开范围:全部公开
信息类别:综合政务 发文日期:2023-09-21 公开方式:政府网站
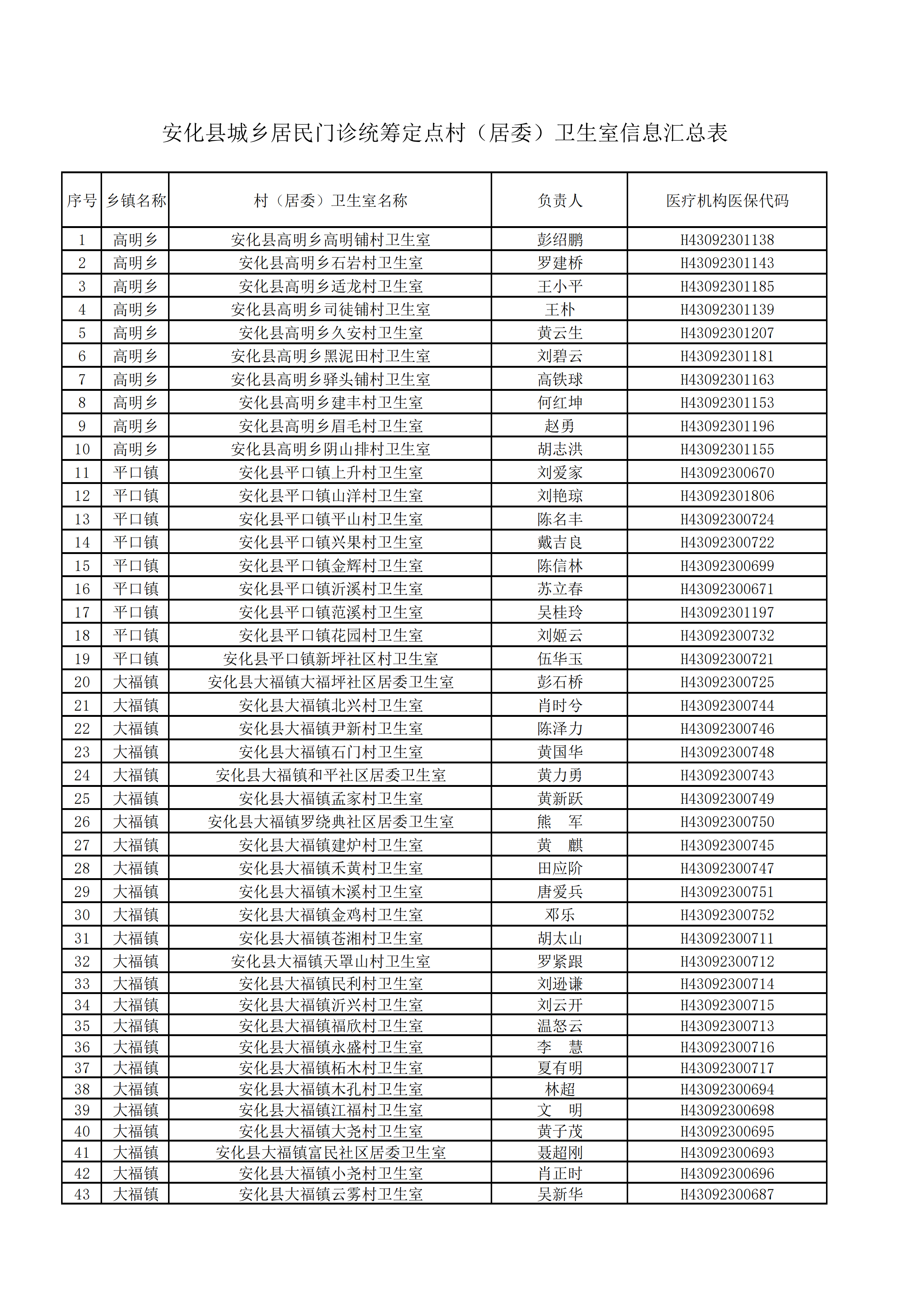
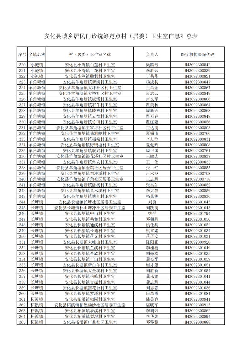
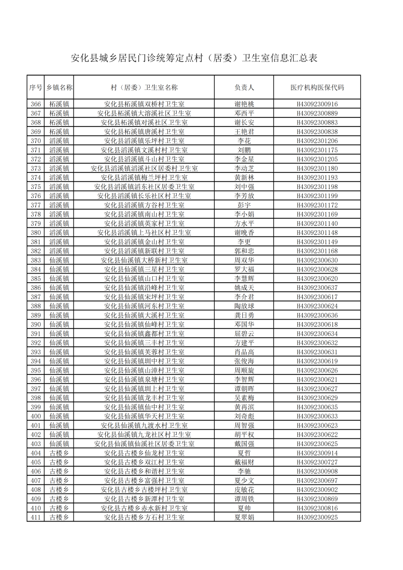
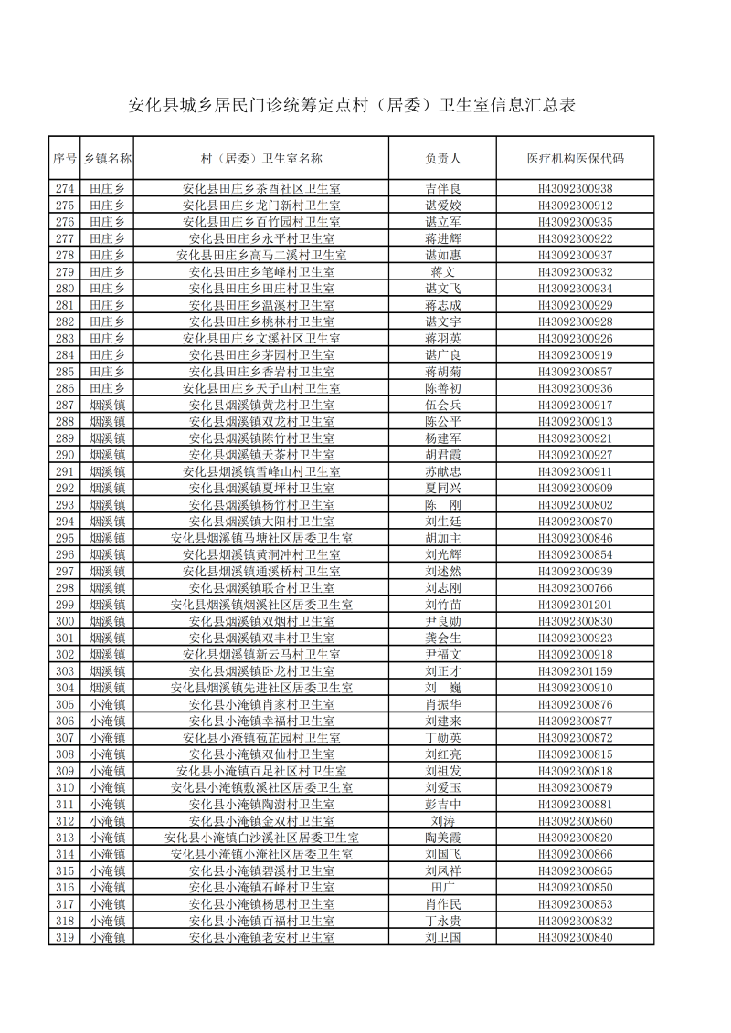
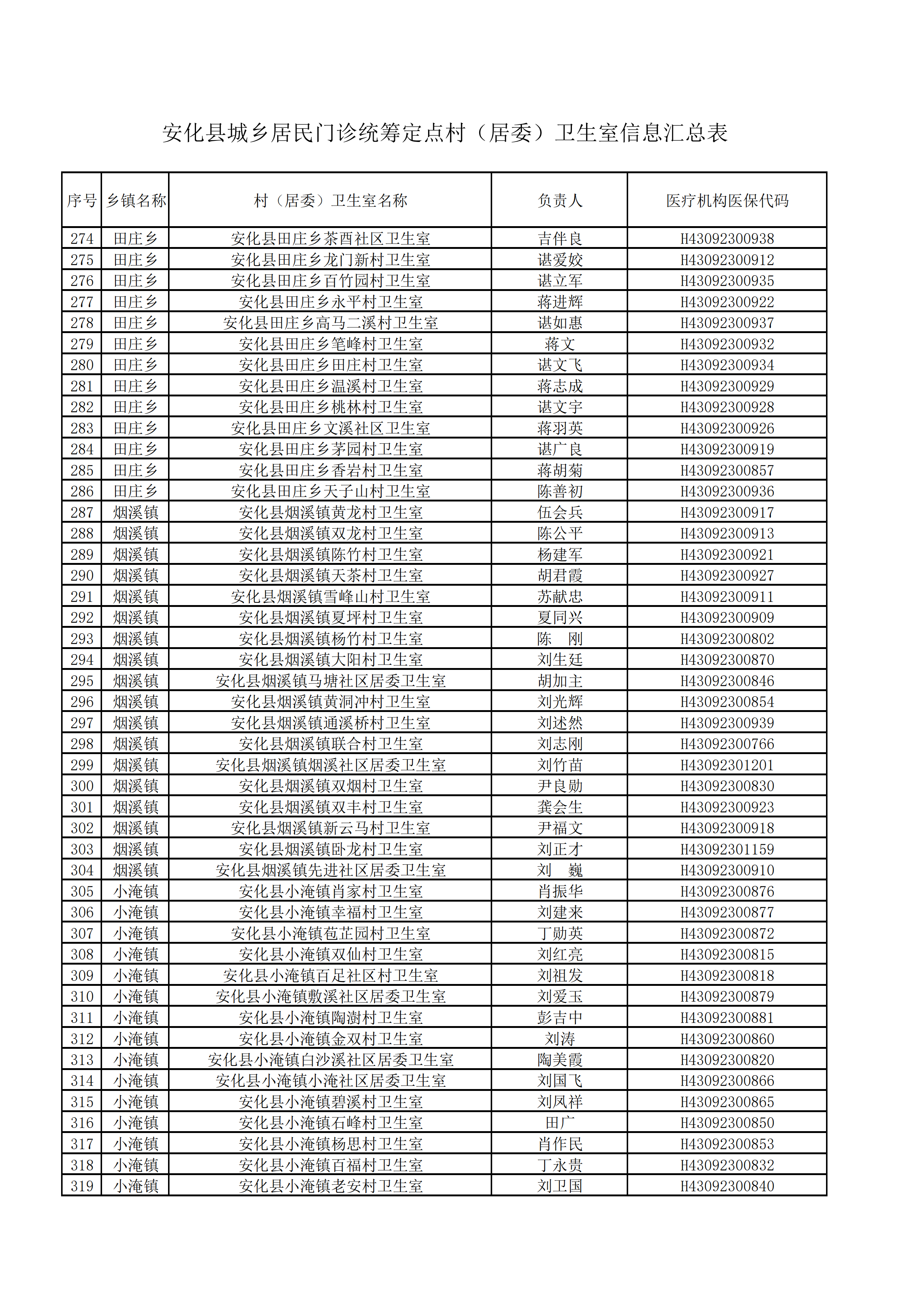
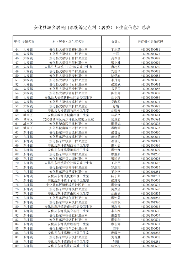
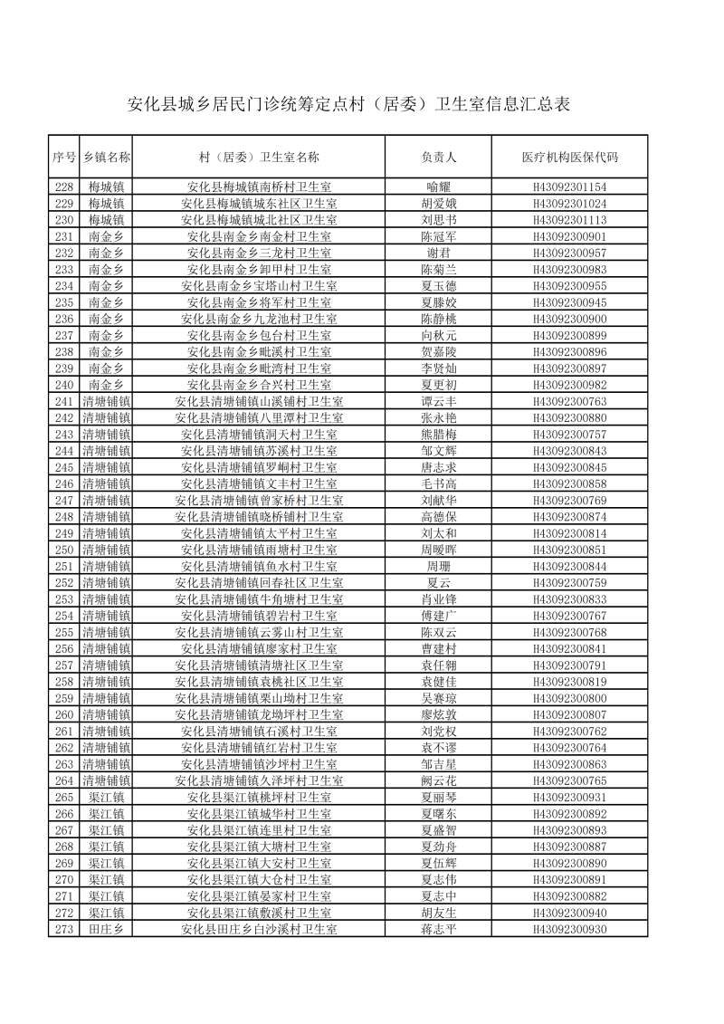
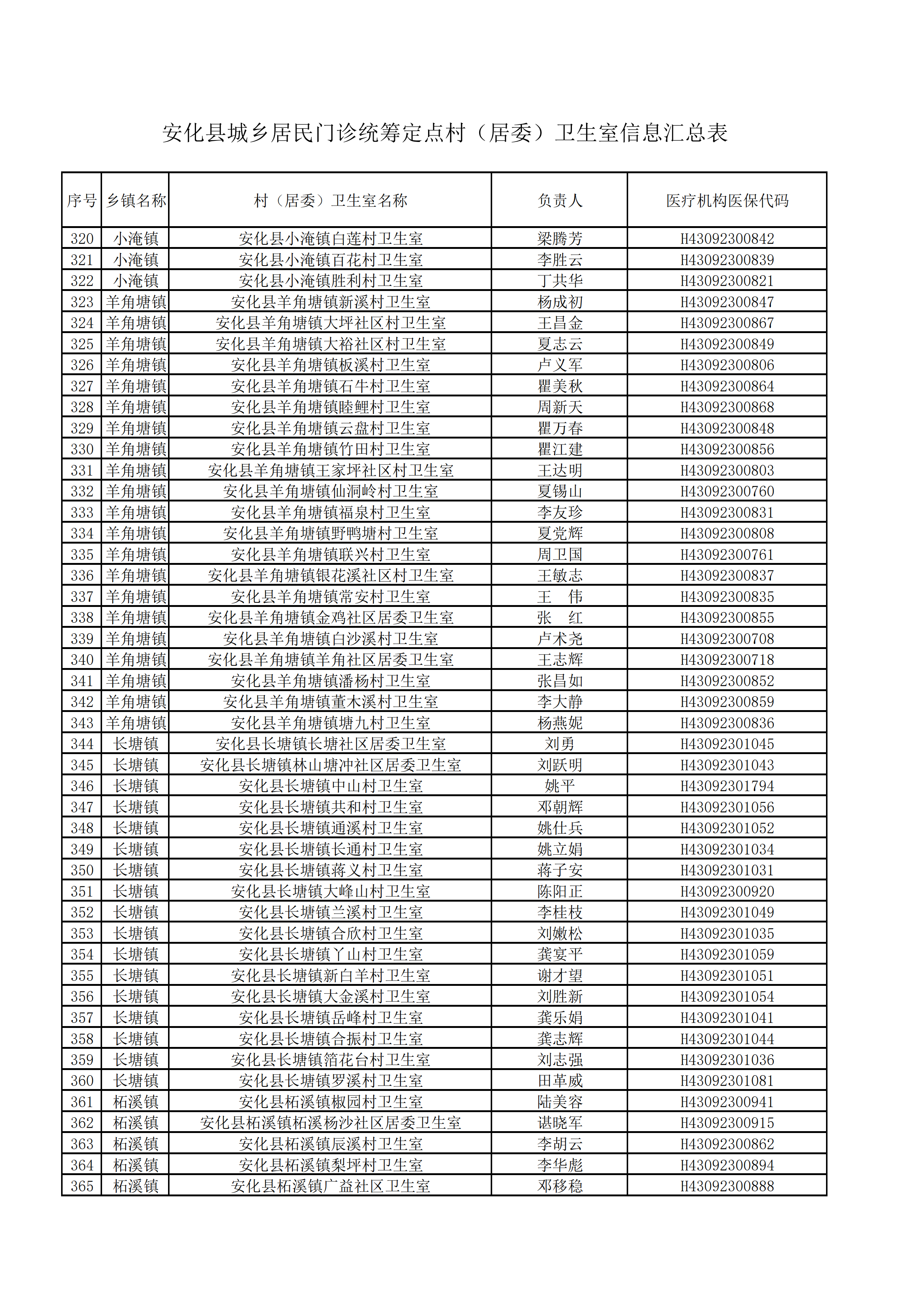
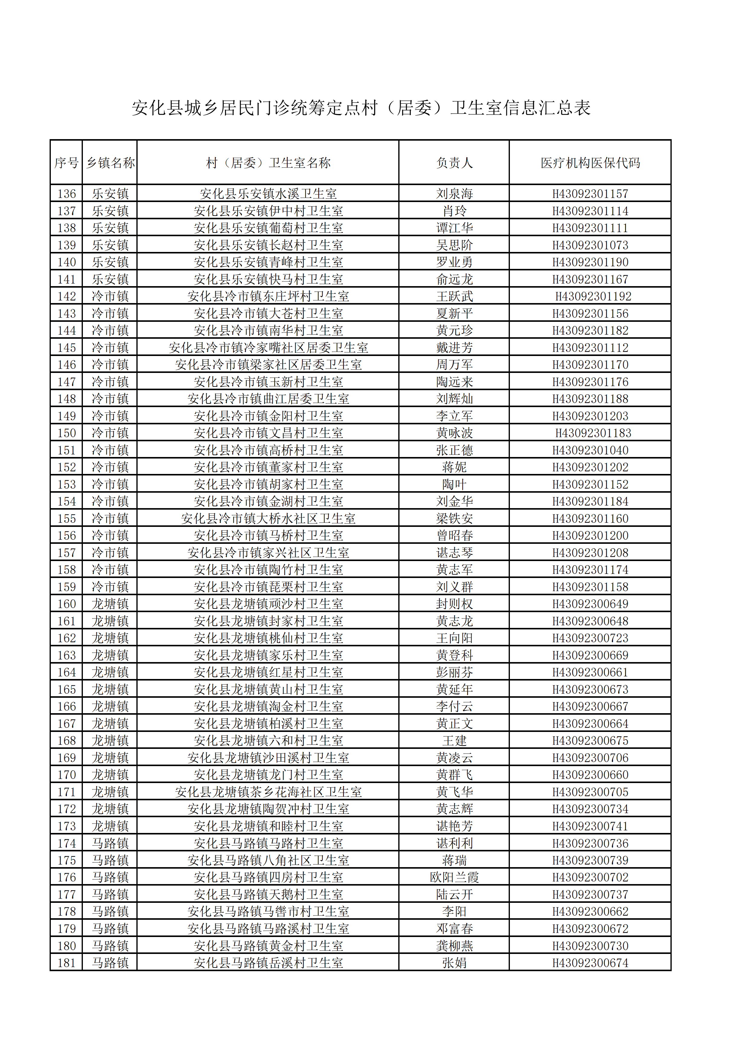
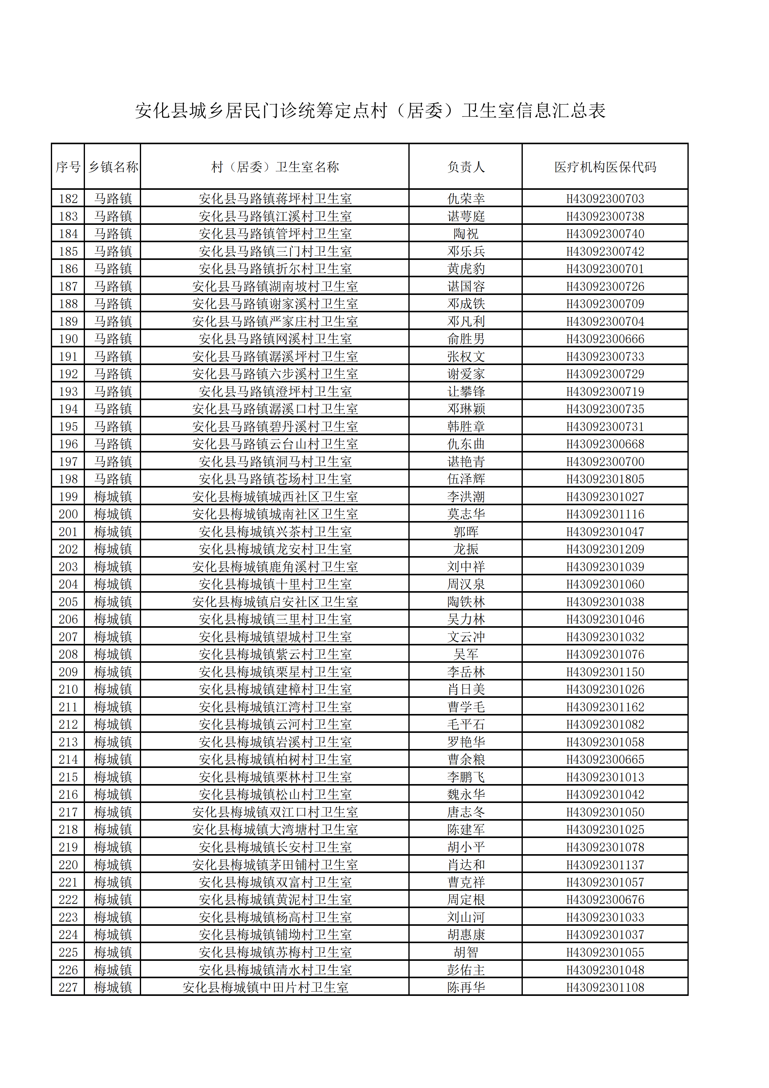
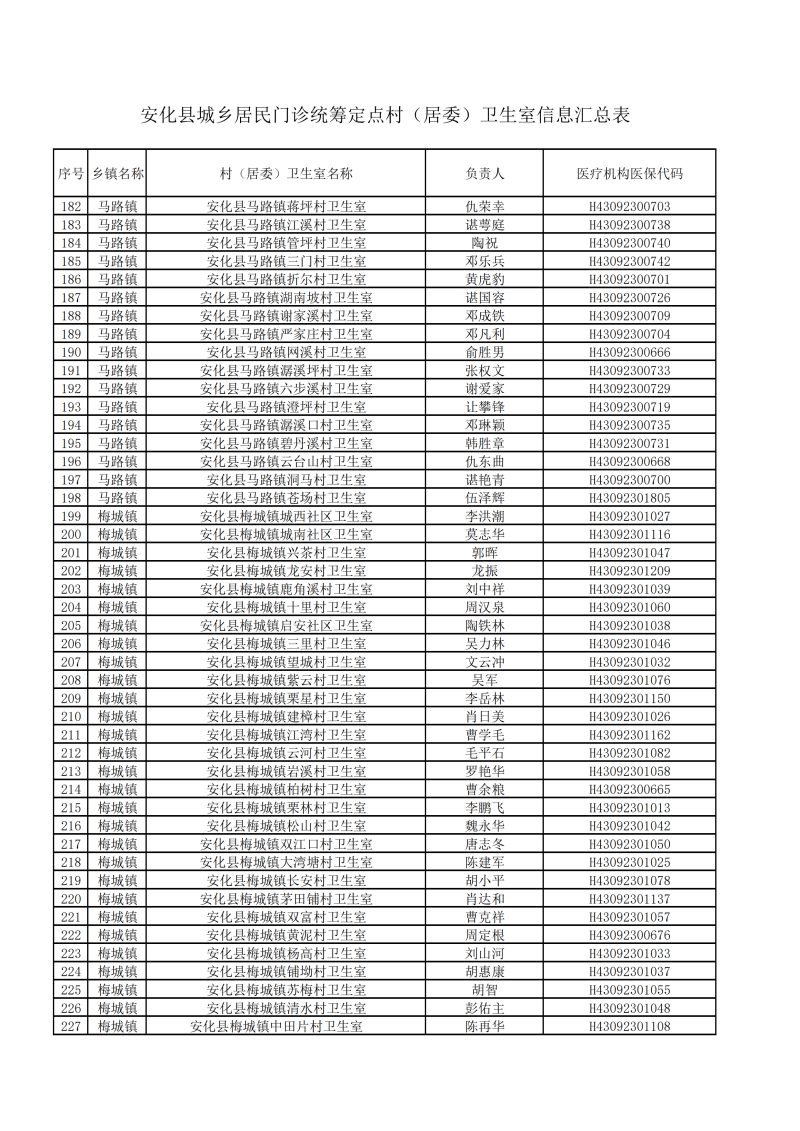
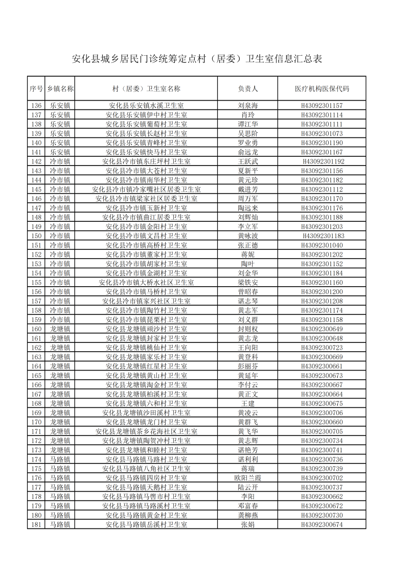
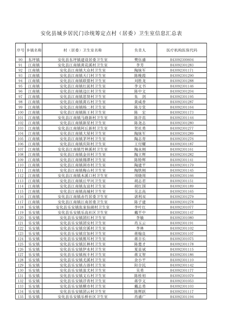
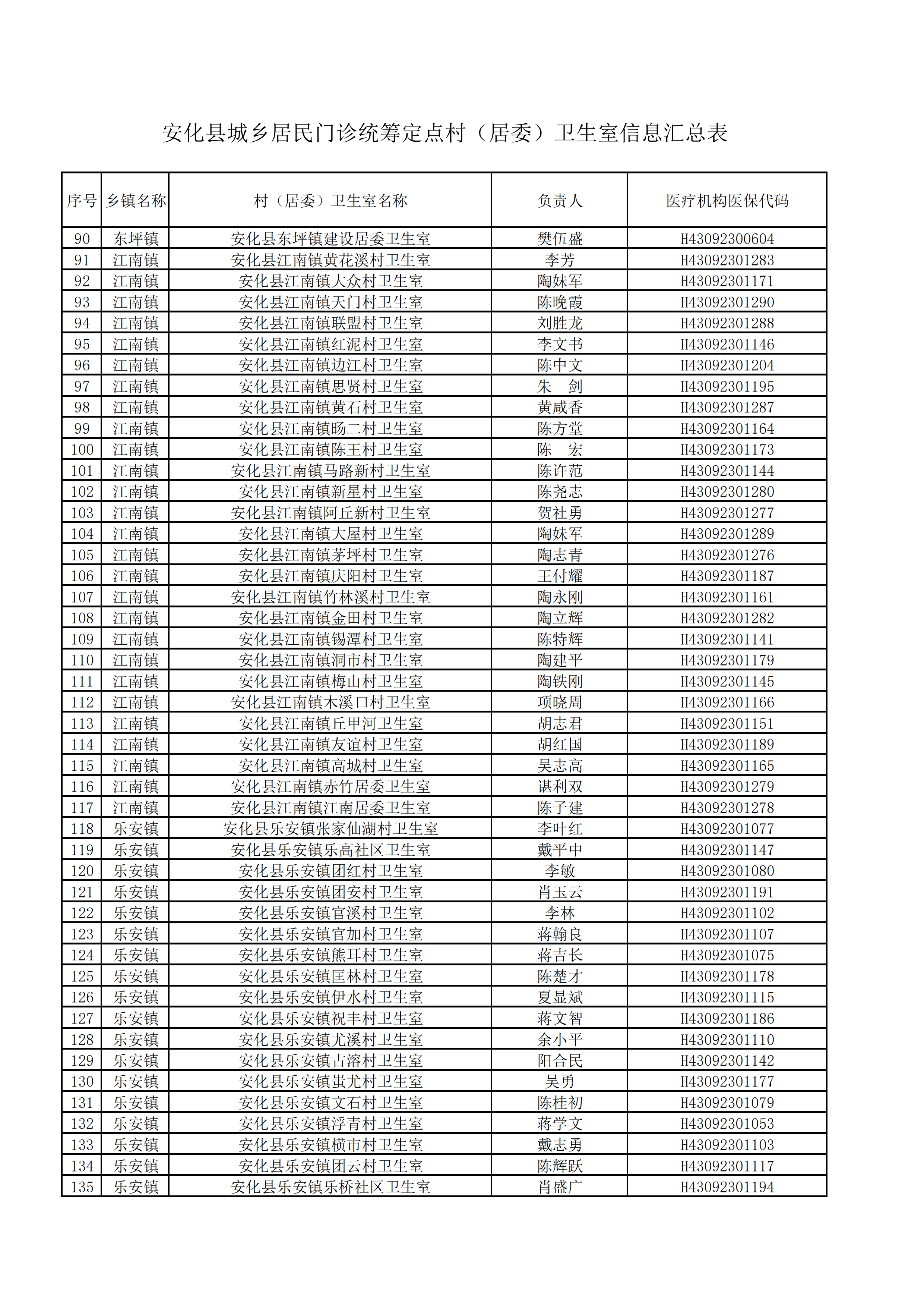
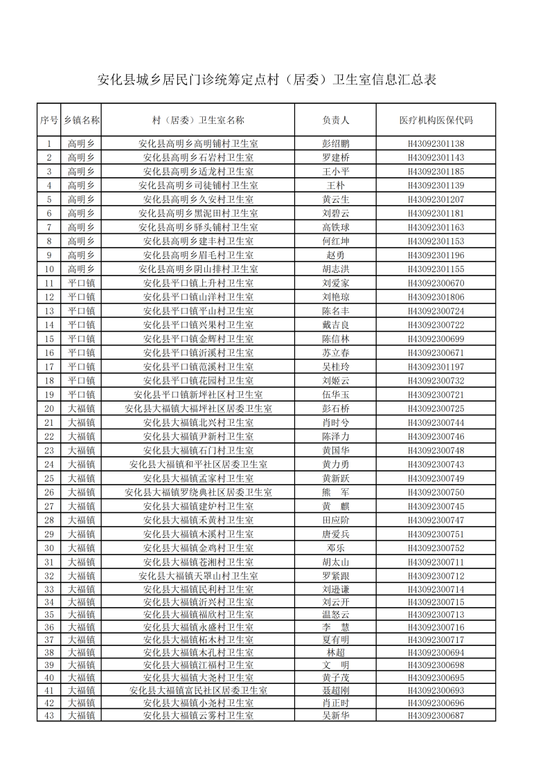
关于确认安化县高明乡高明铺村卫生室等428家行政村(居委)卫生室为我县城乡居民普通门诊统筹定点村(居委)卫生室通知的公示
作者:安化县医疗保障局     发布时间:2023-09-21     信息来源: 安化县医疗保障局     浏览数:




打印[打印] 收藏[收藏] 纠错[纠错] 关闭[关闭]